Learn the basics of Newton Raphson Method and its graphical interpretation along with a solved easy example.
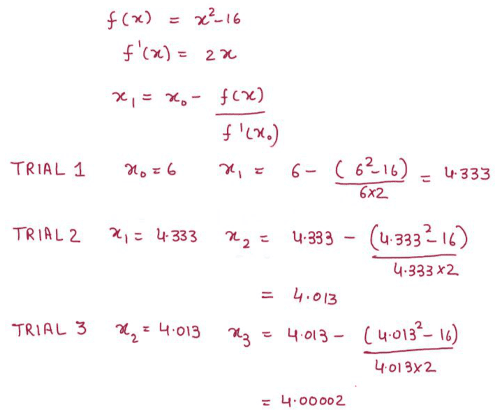
Suppose you need to find the square root of 16 and being very poor in mathematics; your friend will give you three chances to come to the right solution. Will you win this bet? Read this post about Newton Raphson method and learn how you can do this.
In the field of structural engineering and design, nonlinear analysis is quite common. We deal with quantities like forces, stresses, displacements, strains, and others. All these quantities follow the nonlinear behaviour. A physical system is said to be nonlinear if the system’s response does not possess a linear relationship. One of the most common numerical methods used to solve such problems is Newton Raphson Method. In this blog post, we will learn about the basics of Newton Raphson Method and how it is used to solve non-linearity.
The Newton-Raphson method, also known as Newton's method, is a powerful technique for finding the good approximated roots of a real-valued function. It can be easily generalized to the problem of finding solutions to a system of non-linear equations.

Geometrical illustration of the Newton-Raphson method in case of 1-D
Suppose we have
as a random function with the graph shown in the figure below. If we want to draw a tangent on this curve at a known point
with slope
, we can write this tangent equation as:
We can find the root of this tangent line by putting
and
for our next approximation. Solving this will give us a new approximated root, which is :
We can develop a basic understanding of the Newton-Raphson method from the below figure. It shows the iterations in the case of a load-deflection study. The load is increased in predefined increments. Displacement is calculated on the basis of the previous step's stiffness. Then we correct this displacement based on the difference between internal force and external force. We run the iteration until we get convergence.

Figure showing the Newton-Raphson method iterations. U and F are the displacement and applied load respectively. The Load is increased by a fixed value in each iteration. The interaction point of the equilibrium path and horizontal line corresponding to the load increment gives the next converged new solution.
We can apply the above-discussed formulation to solve a very easy numerical problem. Suppose you need to find the square root of 16 and being very poor in mathematics; your friend will give you three chances to come to the right solution. Will you win this bet? Let's figure out using Newton Raphson Method.

Seems like you are going to win the bet.
This method is very easy to use and very convenient but only if our initial guess is close to the actual solution. In other cases we can have erroneous results. So, This method is also associated with a few significant drawbacks. These can be listed as follows:
Overshoot: In problems where the slope becomes zero, for example, problems showing snap-through behaviour or snapback behaviour or both, this method jumps away from the actual solution and does not converge
Divergence at inflection points: If the selected initial guess is close to the inflection point of the given function, the Newton-Raphson method may diverge.
Oscillations near local maximum and minimum: Sometimes when there are local minima or local maxima, the solution may oscillate about the point and may not converge.

Figure showing limitations of Newton-Raphson method. It suffers problems like snap through, snap back and oscillation at the Zero slope points
The approximation obtained using the Newton-Raphson method has a quadratic convergence rate if the initial guess is close to the solution. It is advantageous as a solution converges within a few iterations and saves computational time while solving large systems of non-linear equations. Due to this reason, many Finite Element Analysis software use this approach.
Overview: Due to its easy-to-use formulation, It can be generalized to solve non-linear equations and is nowadays used in many engineering software.
Graphical interpretation: From the graph shown, we learnt how this method arrives at the next iteration
Numerical Example: A very basic question illustrate the formulation of Newton Raphson Method,
Limitation: In case of initial guess is not close to the exact solution; this method can give drawbacks like overshoot, divergence at inflection point, and Oscillation near local maxima and minimum.
Your trusted source for latest updates in core engineering and scientific computing.
